IGCSE Additional and Further Mathematics released! 🎉 | IO Bootcamp available FREE for IB English!
IB math IB Math HL AA - Key Concepts
Sequences and Series (HL)
Arithmetic/Geometric, Sigma Notation, Applications, Compound Interest...
Question Type
Paper
Difficulty
Focus Area
View
Question 1
NO CALCULATOR
Easy
[Maximum mark: 4]

Question 2
NO CALCULATOR
Medium
[Maximum mark: 9]

Question 3
NO CALCULATOR
Medium
[Maximum mark: 6]

Question 4
NO CALCULATOR
Medium
[Maximum mark: 4]

Question 5
NO CALCULATOR
Medium
[Maximum mark: 4]

Question 6
NO CALCULATOR
Medium
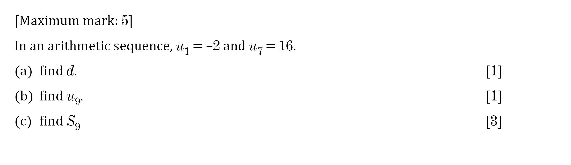
[Maximum mark: 5]

Question 7
NO CALCULATOR
Easy
[Maximum mark: 5]

Question 8
CALCULATOR
Easy
[Maximum mark: 4]

Question 9
NO CALCULATOR
Easy
[Maximum mark: 4]

Question 10
NO CALCULATOR
Medium
[Maximum mark: 5]

Question 11
NO CALCULATOR
Medium
[Maximum mark: 5]

Question 12
NO CALCULATOR
Medium
[Maximum mark: 6]

Question 13
NO CALCULATOR
Medium
[Maximum mark: 4]

Question 14
NO CALCULATOR
Medium
[Maximum mark: 4]

Question 15
NO CALCULATOR
Medium
[Maximum mark: 4]

Question 16
NO CALCULATOR
Hard
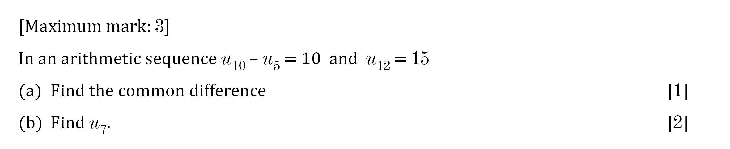
[Maximum mark: 3]

Question 17
NO CALCULATOR
Hard
[Maximum mark: 3]

Question 18
NO CALCULATOR
Hard
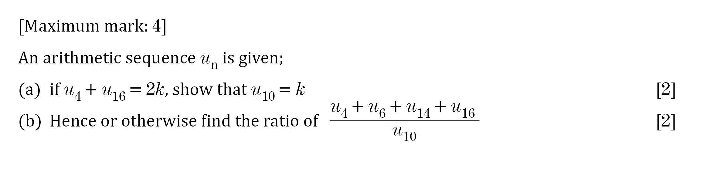
[Maximum mark: 4]

Question 19
NO CALCULATOR
Hard
[Maximum mark: 6]

Question 20
NO CALCULATOR
Hard
[Maximum mark: 5]
