IGCSE Additional and Further Mathematics released! 🎉 | IO Bootcamp available FREE for IB English!
IB math IB Math HL AA - Key Concepts
Vectors, Lines and Planes (HL)
Arithmetic/Geometric, Sigma Notation, Applications, Compound Interest...
Question Type
Paper
Difficulty
Focus Area
View
Question 1
CALCULATOR
Medium
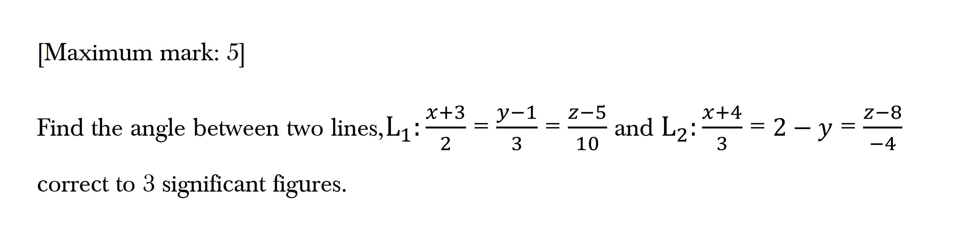
[Maximum mark: 5]

Question 2
CALCULATOR
Medium
[Maximum mark: 5]

Question 3
CALCULATOR
Hard
[Maximum mark: 6]

Question 4
CALCULATOR
Medium
[Maximum mark: 4]
