IGCSE Additional and Further Mathematics released! 🎉 | IO Bootcamp available FREE for IB English!
IB math IB Math HL AA - Questionbank
Differentiation/Derivative (HL)
Arithmetic/Geometric, Sigma Notation, Applications, Compound Interest...
Question Type
Paper
Difficulty
Focus Area
View
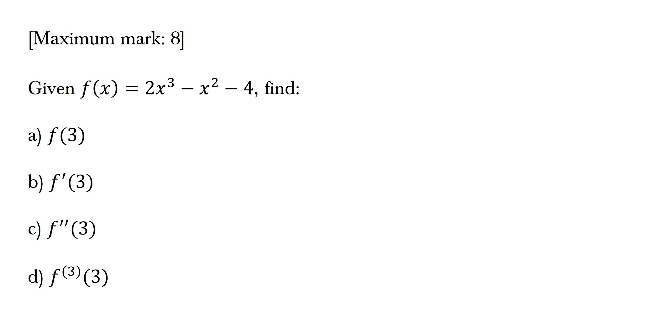
Question 1
NO CALCULATOR
Easy
[Maximum mark: 8]

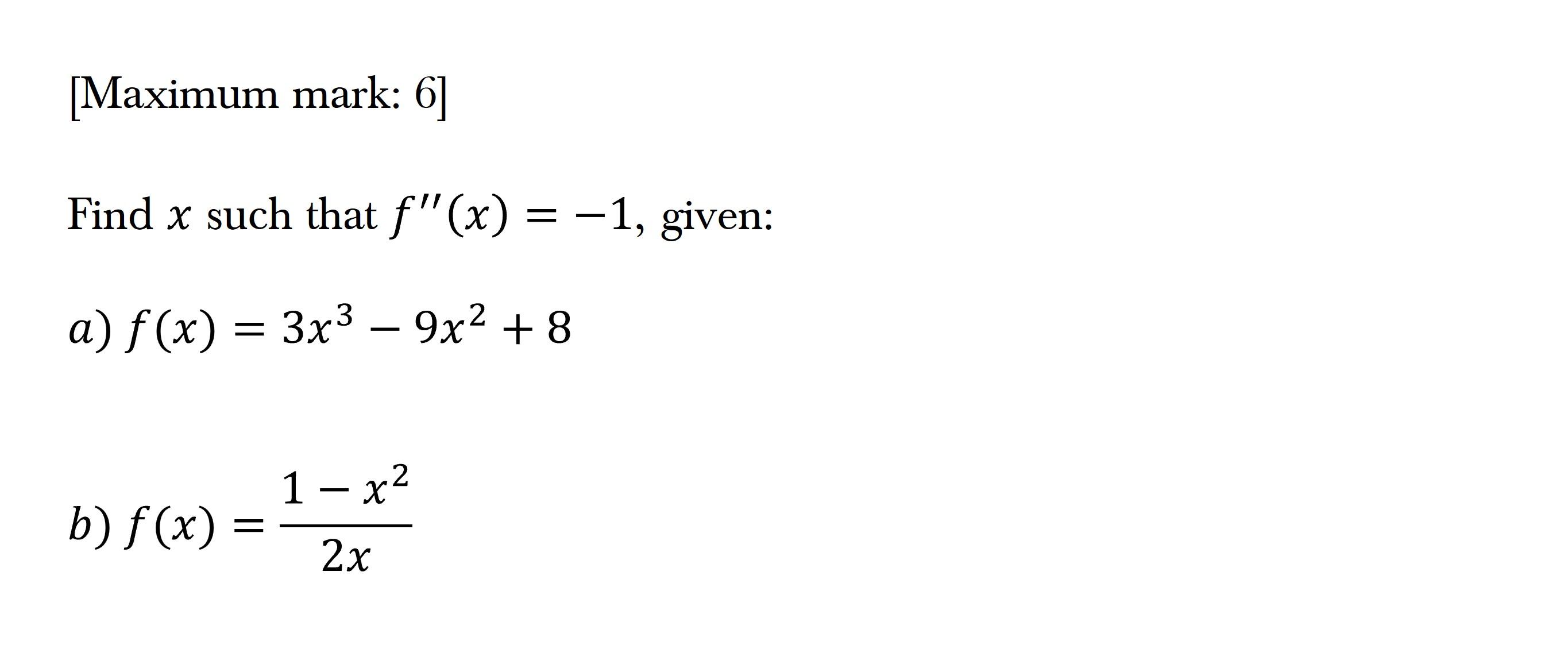
Question 2
NO CALCULATOR
Medium
[Maximum mark: 6]

Question 3
NO CALCULATOR
Medium
[Maximum mark: 6]

Question 4
NO CALCULATOR
Hard
[Maximum mark: 8]

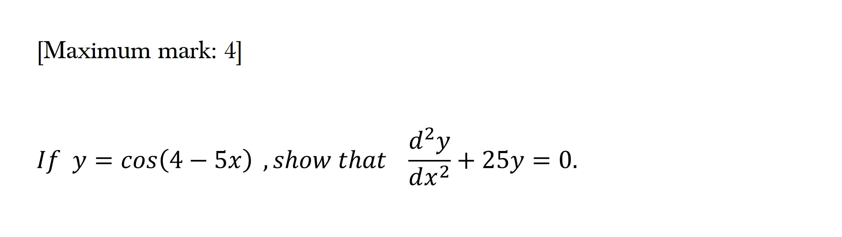
Question 5
NO CALCULATOR
Medium
[Maximum mark: 4]
