IB math IB Math SL AA - Key Concepts
Differentiation/Derivative
Arithmetic/Geometric, Sigma Notation, Applications, Compound Interest...
Question Type
Paper
Difficulty
Focus Area
View
Question 1
[Maximum mark: 6]

Question 2
[Maximum mark: 10]

Question 3
[Maximum mark: 8]

Question 4
[Maximum mark: 8]

Question 5
[Maximum mark: 6]

Question 6
[Maximum mark: 6]

Question 7
[Maximum mark: 8]

Question 8
[Maximum mark: 6]

Question 9
[Maximum mark: 8]

Question 10
[Maximum mark: 8]

Question 11
[Maximum mark: 8]

Question 12
[Maximum mark: 6]

Question 13
[Maximum mark: 6]

Question 14
[Maximum mark: 6]

Question 15
[Maximum mark: 6]

Question 16
[Maximum mark: 8]

Question 17
[Maximum mark: 8]

Question 18
[Maximum mark: 6]

Question 19
[Maximum mark: 6]

Question 20
[Maximum mark: 8]

Question 21
[Maximum mark: 6]

Question 22
[Maximum mark: 6]

Question 23
[Maximum mark: 10]

Question 24
[Maximum mark: 6]

Question 25
[Maximum mark: 6]

Question 26
[Maximum mark: 8]

Question 27
[Maximum mark: 6]

Question 28
[Maximum mark: 6]

Question 29
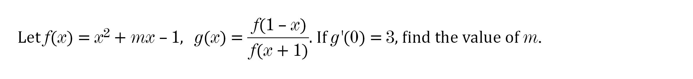
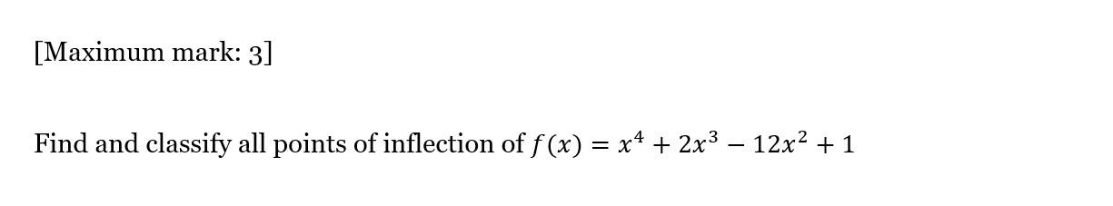
[Maximum mark: 3]

Question 30
[Maximum mark: 3]

Question 31
[Maximum mark: 7]

Question 32
[Maximum mark: 9]

Question 33
[Maximum mark: 5]

Question 34
[Maximum mark: 5]

Question 35
[Maximum mark: 12]

Question 36
[Maximum mark: 3]

Question 37
[Maximum mark: 3]

Question 38
[Maximum mark: 2]

Question 39
[Maximum mark: 2]

Question 40
[Maximum mark: 6]

Question 41
[Maximum mark: 5]

Question 42
[Maximum mark: 3]

Question 43
[Maximum mark: 9]

Question 44
[Maximum mark: 5]

Question 45
[Maximum mark: 9]

Question 46
[Maximum mark: 6]

Question 47
[Maximum mark: 12]

Question 48
[Maximum mark: 6]

Question 49
[Maximum mark: 6]

Question 50
[Maximum mark: 4]
