IGCSE Additional and Further Mathematics released! 🎉 | IO Bootcamp available FREE for IB English!
IB math IB Math SL AA - Questionbank
Binomials
Arithmetic/Geometric, Sigma Notation, Applications, Compound Interest...
Question Type
Paper
Difficulty
Focus Area
View
Question 1
NO CALCULATOR
Easy
[Maximum mark: 5]

Question 2
NO CALCULATOR
Easy
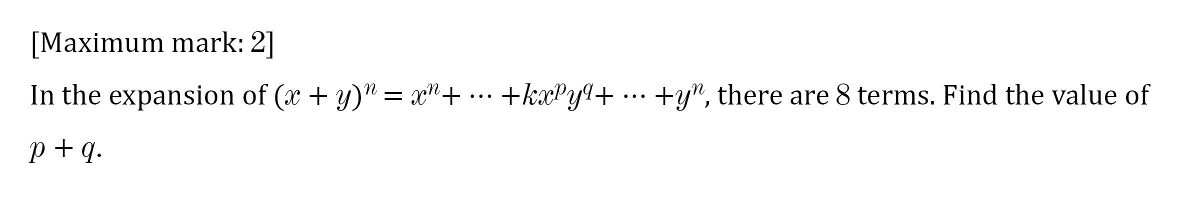
[Maximum mark: 2]

Question 3
NO CALCULATOR
Medium
[Maximum mark: 3]

Question 4
NO CALCULATOR
Easy
[Maximum mark: 5]

Question 5
NO CALCULATOR
Easy
[Maximum mark: 5]
